垃圾焚烧是目前垃圾处理的主要方法,焚烧过程中产生的热量可以用到发电中,实现对能源的循环利用,减少排放和满足环保要求,余热发电技术使用水或者低沸点工质发电已经成为回收余热资源的有效途径。目前垃圾焚烧厂烟囱入口烟气温度在150℃左右,会造成比较大的余热损失,利用有机朗肯循环进行低沸点有机工质发电可以有效回收低温余热,在低品位热能利用方面具有较大优势,并且能降低二氧化碳和氮氧化物的排放。
1 垃圾焚烧余热发电概述
焚烧是垃圾处理的主要方式之一,垃圾中的废物将会被焚烧成二氧化碳和水,释放出的余热可以继续应用到发电当中。相比于填埋、堆肥处理,焚烧法需要占用的空间更小,所以焚烧处理也成为了目前垃圾处理的主流。由于焚烧法会产生大量余热,所以利用余热发电也成为焚烧垃圾的发展方向之一。余热属于二次能源,主要是指生产过程中被释放出来的可利用热能,根据温度不同可以划分为低温(100-200℃)可利用余热、中温(200-500℃)可利用余热、高温(500℃以上)可利用余热。垃圾焚烧厂的烟囱入口150℃左右的余热属于低温余热,可以利用该余热进入朗肯循环发电。
2 垃圾焚烧低温余热发电工艺
2.1 垃圾焚烧低温余热发电工艺处理流程
垃圾焚烧低温余热发电系统包括垃圾接收系统、垃圾焚烧系统、热能利用系统、烟气处理系统、炉灰渣处理系统等。垃圾焚烧发电厂中,垃圾进厂后经过地磅房称重后送入卸料大厅;为了能提升垃圾的热值,垃圾仓内的垃圾会发酵5-7天,通过垃圾吊倒料,形成的渗滤液收集到专门的渗滤液池,将发酵好地抓入垃圾料斗。垃圾焚烧在专门的焚烧炉中进行,会经过干燥段炉排、燃烧段炉排和燃烬段炉排使垃圾充分燃烧,根据规范规定,需要将烟气的温度控制在850℃以上,保证停留时间超过2秒。
利用中、高温余热时,垃圾焚烧的烟气进入余热锅炉中,通过锅炉受热面传递热量,然后加热锅炉工质,工质蒸发推动汽轮机组发电。在烟气处理工作中,将余热锅炉排出的烟气引入到半干式脱酸反应塔旋转雾化器中,用碱性液体吸收烟气中的酸性物质;后续烟气经过活性炭喷射系统、布袋除尘器后进入到排放烟囱中,烟囱上的在线监测系统对排放过程实施监控。
2.2 烟气余热利用ORC系统
余热锅炉排出的烟气经脱酸、除尘等净化处理后,烟气温度在150℃左右,低温余热仍可进一步利用。在烟气低温余热利用ORC系统中,利用有机工质进行朗肯循环,其系统配置如图1所示,有机工质在蒸发器内定压吸热,然后在膨胀机内绝热做功,乏汽在冷凝器中定压放热,最后在工质泵内进行绝热压缩,再回到原来的动力循环过程。使用有机工质可以比较好地利用低温余热,提升系统的能源利用效率,并降低二氧化碳排放,系统的热源利用效率会有比较大的提升,从而充分带动系统发电,让系统的热能转变为电能,乏汽可以凝结为液态达到回收能源的目的。
3 垃圾焚烧低温烟气余热发电工质选择
3.1 工质选择的基本原则
ORC发电系统的工质选择十分重要,选择过程中应该充分考虑工质的经济性、安全性和技术性。工质必须具有较低的临界温度和临界压力,较低的蒸汽过热要求并且粘度较低,以及较小的体积比,工质应具有适当的热稳定极限,和发动机材料、润滑油都具有较好的相容性。
除性能要求外,工质也要满足环保的要求,而且要控制工质的毒性和满足化学稳定性要求,在经济性上也要足够低廉,并且输送储存都比较方便。
3.2 烟气余热利用ORC系统
选择工质时,最重要的在于工质的热力学性能,将会决定设备的尺寸、稳定性、环保水平很经济性。本文对常用工质R245fa、R600a和R601a进行比较进行比较。图1、图2分别为系统的配置和循环对应的T-s图,有机工质在蒸发器定压吸热(4-1过程),然后在膨胀机内绝热膨胀做功(1-2过程),从而带动发电机发电,乏汽在冷凝器完成定压放热(2-3过程),最后通过工质泵内进行绝热压缩(4-1过程), 然后再回到蒸发器,完成有机朗肯循环。
图1 ORC余热发电

图2 ORC循环T-s
1-2过程为绝热做功过程,做工的计算公式为:
2-3定压放热过程,放热为:
3-4过程是绝热压缩过程:
4-1过程是定压吸热过程,吸热为:
系统的循环热效率为
3.3 计算结果分析
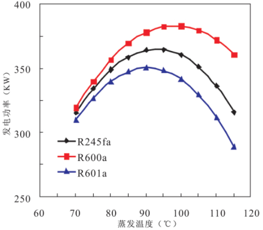
ORC系统净输出功率随着蒸发温度升高先增大后减小,如图3所示,在蒸发温度范围内,三种工质的最大净输出功率为385kW、365kW、350kW,三种工质达到最大净输出功率时温度为100℃、95℃和90℃。根据工质的参数数据,工质的临界温度越低,系统就会有越大的净输出功率,就需要越高的蒸发温度。所以为了获得较高系统输出功率,应该选择临界温度更小的工质。
图3 发电功率和蒸发温度的关系
根据图4结果,系统的热效率随着蒸发温度的升高增大,蒸发温度相同时,随着工质临界温度的升高,系统的热效率逐渐降低。
图4 发电效率随蒸发温度的变化
ORC系统排烟温度随着蒸发温度变化的关系如图5所示,系统的排烟温度随着蒸发温度的升高而升高,在蒸发温度相同的情况下,工质的临界温度越低,系统就的排烟温度就会越低。
图5 排烟温度随蒸发温度的变化
经过上述分析,ORC系统的蒸发温度应该控制在70-11℃,并且系统的净输出功存在极大值,综合分析工质对环境影响潜能值,使用R600a工质比较有效,根据蒸发温度为100℃设计,ORC系统可以获得385kW的发电功率,全年可以节约950吨标煤,并减少2250吨二氧化碳,以及降低氮氧化物的排放,有非常好的节能减排效果。
结束语:垃圾焚烧低温余热发电的系统设计中,设计人员应该了解不同工质的属性,并根据系统的要求正确选择工质;有工质的蒸发温度,对发电功率、发电效率和排烟温度有显著影响,工质选择时应予以综合考虑。POLOVO阀门在垃圾焚烧低温余热发电的系统中也有广泛应用。
|